Bbox3 Sagem Tool
- Patje
- Elite Poster

- Berichten: 3694
- Lid geworden op: 03 sep 2003, 19:18
- Locatie: (Ledegem)West vlaanderen
- Uitgedeelde bedankjes: 267 keer
- Bedankt: 106 keer
- Recent bedankt: 1 keer
Ik kan de tool niet meer gebruiken omdat ik mijn modem sagem heb moeten omruilen, doordat deze regelmatig herstarte (bug,fout in modem?)
Heb nu een Technicolor, dus met enkel een speedtest zal ik weten op wat snelheid ik zit, tenzij er binnenkort iets uit de bus komt met deze tool of die andere VdslTool van qless.
Heb nu een Technicolor, dus met enkel een speedtest zal ik weten op wat snelheid ik zit, tenzij er binnenkort iets uit de bus komt met deze tool of die andere VdslTool van qless.
Intel® i3-10100 Quad-Core @4,10 GHZ. Ram:16 GB DDR4. SSD NVMe 500 GB || Windows 11 Home X64 || GSM Samsung Galaxy A13 @ Hey!
Hey! LiveBox Cable Modem 150/15 Mbps* https://www.speedtest.net/nl/result/16739853024.png
Hey! LiveBox Cable Modem 150/15 Mbps* https://www.speedtest.net/nl/result/16739853024.png
Maandje geleden verhuisd en zonder na te denken weer belgacom gekozen, het was immers maar 200 meter verder dus dacht dat verbinding wel min of meer hetzelfde zou zijn. Niet dus (ik kom van 50Mb). De technieker van Belgacom had er al geen goed oog in: "Dat zal 16Mb down zijn misschien lukt 20Mb ook wel." Euhm wat
. Ondertussen toch al naar 25Mb geklommen en blijk sinds een paar dagen op 30Mb te zitten. Iemand die deze output begrijpt en weet of er nog rek op zit? Ben redelijk hard aan het twijfelen om eens bij telenet te horen want dit is onwerkbaar, vooral voor TV. 1 kanaal HD opnemen en terwijl niets anders kunnen kijken
, beetje de middeleeuwen.
Code: Selecteer alles
B-Box 3 Sagem Tool v0.7
-----------------------
Downstream current bit rate: 30 063 kbps
Upstream current bit rate: 8 048 kbps
Downstream max bit rate: 41 490 kbps
Upstream max bit rate: 11 384 kbps
Downstream attenuation: 19,0 dB
Upstream attenuation: 0,0 dB
Downstream noise margin: 10,1 dB
Upstream noise margin: 7,5 dB
DSL standard: VDSL2
VDSL2 profile: 17a
Vectoring: No
Proximus profile: LP048
DLM: No
Repair: Yes
Distance (experimental): 640 m
- Dizzy
- Elite Poster

- Berichten: 13017
- Lid geworden op: 06 dec 2009, 13:28
- Locatie: Hier ter plaatse
- Uitgedeelde bedankjes: 617 keer
- Bedankt: 740 keer
- Recent bedankt: 5 keer
Had hetzelfde probleem na een verhuis. Zat op 20/2 (240 m van kast) en tegelijk HD opnemen en kijken was niet mogelijk. Technieker laten komen en op diezelfde dag ging het ineens wel!
Waarschijnlijk zat er iets fout in de kast want tot die dag had het maanden niet gewerkt, zonder uitzondering. Nu zit ik door diverse verhogingen op 50/10 en heb ik ineens een goeie lijn die nog kan verbeteren tot 70/10. Net op tijd opgelost want ook ik dacht aan switchen naar telenet.
Met snelheid van 30 zou tegelijk opnemen en kijken in hd wel mogelijk moeten zijn. Bel eens naar technische dienst om uw lijn na te kijken of de aansluiting in de kast te controleren.
Met snelheid van 30 zou tegelijk opnemen en kijken in hd wel mogelijk moeten zijn. Bel eens naar technische dienst om uw lijn na te kijken of de aansluiting in de kast te controleren.
Wil je iemand kwaad maken, vertel hem dan leugens. Wil je iemand razend maken, vertel hem dan de waarheid.
-
pyro85
- Plus Member

- Berichten: 195
- Lid geworden op: 23 nov 2014, 10:18
- Uitgedeelde bedankjes: 39 keer
- Bedankt: 126 keer
philippe_d schreef:Ik heb de indruk dat de nieuwe berekening van de afstand iets te optimistisch is (afstand onderschat), misschien was de oude formule toch realistischer?
In v0.9 van de tool is de oude formule terug geïmplementeerd. De feedback die ik hier krijg is zeer nuttig, nu weet ik dat de vorige formule toch nauwkeuriger wasRegulus schreef:FWIW ... De tool versie 0.7 geeft mij 610 m en de nieuwe versie trekt mij naar 507 m .. aardbeving van Nepal toch merkbaar ?(de VDSL2 tool gaf mij 591m)
Is gefixt ondertussen, het LP nr was nog niet gekend toen ik v0.8 uitbracht.franjo schreef:alleen het proximus profile mist nog steeds
Nuttige test, wat me wel opvalt is dat de max snelheid en afstand veel verschilt tussen de VDSL2 Tool en de BBOX3 tool.Tomsworld schreef:Soms heb je tijd en wil je een beetje testjes doen op je lijn
...
Technicolor ondersteuning moet je (helaas) niet rap verwachten. Ik heb vroeger een Technicolor gehad, maar kon er niks van data uithalen, die zit echt potdicht (zoals het eigenlijk hoort). Bij Sagem gebeurt er heel veel in javascript, zoals encryptie en systeemwaarden ophalen (zo hoort het dus niet), waardoor het voor mij mogelijk was om de werking uit te vissen, en de 'truuk' toe te passen.Patje schreef:Ik kan de tool niet meer gebruiken omdat ik mijn modem sagem heb moeten omruilen, doordat deze regelmatig herstarte (bug,fout in modem?)
Heb nu een Technicolor, dus met enkel een speedtest zal ik weten op wat snelheid ik zit, tenzij er binnenkort iets uit de bus komt met deze tool of die andere VdslTool van qless.
Je zit in zone 2, dus eens vectoring geactiveerd wordt zou je toch 50/6 moeten kunnen halen. 2 HD kanalen bekijken moet zeker mogelijk zijn, anders moet je eens uw decoder herstarten?Bavooo schreef:Maandje geleden verhuisd en zonder na te denken weer belgacom gekozen, het was immers maar 200 meter verder dus dacht dat verbinding wel min of meer hetzelfde zou zijn. Niet dus (ik kom van 50Mb). De technieker van Belgacom had er al geen goed oog in: "Dat zal 16Mb down zijn misschien lukt 20Mb ook wel." Euhm wat. Ondertussen toch al naar 25Mb geklommen en blijk sinds een paar dagen op 30Mb te zitten. Iemand die deze output begrijpt en weet of er nog rek op zit? Ben redelijk hard aan het twijfelen om eens bij telenet te horen want dit is onwerkbaar, vooral voor TV. 1 kanaal HD opnemen en terwijl niets anders kunnen kijken
, beetje de middeleeuwen
Laatst gewijzigd door pyro85 17 mei 2015, 12:36, in totaal 1 gewijzigd.
-
philippe_d
- Moderator

- Berichten: 18609
- Lid geworden op: 28 apr 2008, 11:22
- Locatie: Waregem
- Uitgedeelde bedankjes: 1016 keer
- Bedankt: 3810 keer
- Recent bedankt: 24 keer
Op het éérste zicht zit je in zone 3 (gestart met 16Mbps, en dan via 25Mbps opgeklommen naar 30Mbps).Bavooo schreef: De technieker van Belgacom had er al geen goed oog in: "Dat zal 16Mb down zijn misschien lukt 20Mb ook wel." Euhm wat. Ondertussen toch al naar 25Mb geklommen en blijk sinds een paar dagen op 30Mb te zitten.
Code: Selecteer alles
B-Box 3 Sagem Tool v0.7 ----------------------- Downstream current bit rate: 30 063 kbps Upstream current bit rate: 8 048 kbps Downstream noise margin: 10,1 dB Upstream noise margin: 7,5 dB Distance (experimental): 640 m
Maar gezien jouw upload van 8 Mbps, zit je dus wel degelijk in zone 2
- - ofwel zit je op <700m van een oude ROP
- ofwel zit je op <900m van een nieuwe ROP, en ben je hierdooor naar "zone 2" verhuisd.
Wat betreft aantal TV's in zone 2:
- - zonder vectoring, ongeacht de goede snelheid die je kreeg via DLM: 2HD + 1SD (gebaseerd op 20/2).
- met vectoring: 3HD + 1SD (gebaseerd op 50/6).
Dus één kanaal opnemen in HD en één bekijken moet perfect mogelijk zijn!
- De afstand verschilt omdat beide tools andere formules gebruiken voor de berekening van de afstand.pyro85 schreef:Tomsworld schreef:Soms heb je tijd en wil je een beetje testjes doen op je lijn
Nuttige test, wat me wel opvalt is dat de max snelheid en afstand veel verschilt tussen de VDSL2 Tool en de BBOX3 tool (max snelheid en afstand).
- De snelheid verschilt omdat Arno in de output van de VDSL2 Tool (v3) een "calculated max" geeft, en niet de "modem max" (zoals uitgelezen). De calculated max is ca 82% van de modem max (waarschijnlijk wilde hij in zijn tool een meer realistische verwachting geven in plaats van een theoretische waarde).
VoIP: EDPnet (gratis vaste lijn), Sipgate.de, Sipgate.co.uk, MegaVoip.
Provider: EDPnet Fiber XS (150/50 mbps down/up).
Modem/Router: Fritz!Box 5590 Fiber, OS 8.10 BETA, Fritz!SFP GPON aangesloten op Proximus ONTP.
Telefoon centrale: Euracom 181 achter FritzBox So. 3 Fritz!DECT toestellen
TV: Telenet CI+, Fritz!DVB-C.
Provider: EDPnet Fiber XS (150/50 mbps down/up).
Modem/Router: Fritz!Box 5590 Fiber, OS 8.10 BETA, Fritz!SFP GPON aangesloten op Proximus ONTP.
Telefoon centrale: Euracom 181 achter FritzBox So. 3 Fritz!DECT toestellen
TV: Telenet CI+, Fritz!DVB-C.
Bedankt voor de respons. Net nog eens geprobeerd, en 1 HD kanaal opnemen en terwijl SD kijken lukt, als ik dan naar HD wil kijken komt de melding dat de opname wordt gestopt. Ik zal eens naar Belgacom moeten bellen.
En dan ook maar hopen dat vectoring snel wordt geactiveerd. Zijn er truckjes om dit sneller te laten activeren? Of is wachten tot het "langskomt" de enige optie?
En dan ook maar hopen dat vectoring snel wordt geactiveerd. Zijn er truckjes om dit sneller te laten activeren? Of is wachten tot het "langskomt" de enige optie?
-
pyro85
- Plus Member

- Berichten: 195
- Lid geworden op: 23 nov 2014, 10:18
- Uitgedeelde bedankjes: 39 keer
- Bedankt: 126 keer
Nee nog niet, ik denk dat deze volgende week zal klaar zijnjackho schreef:kunnen we deze versie 0.9 al ergens downloaden ?In v0.9 van de tool is de oude formule terug geïmplementeerd.
Dit kan je alvast verwachten:
- live update van profielen, bedankt aan jantje81 voor de hosting
- nieuwe profielen toegevoegd (zie deze post: https://userbase.be/forum/viewtopic.php ... 75#p605275)
- profielbepaling houdt nu ook rekening met vectoringstatus indien gekend (dit zal uw foutieve profielbepaling fixen, jackho)
- profielbepaling houdt nu ook rekening met afstand
- afstandsbepaling is nu terug zoals in v0.7
Moet nu alles nog grondig testen en afwerken.
Geen truukjes, gewoon puur geduld hebben. Je kan eens contact opnemen met de helpdesk of uw dichtstbijzijnd Proximus center, misschien dat zij iets lossen? (al schat ik dat de kans zeer klein is) Ik denk dat het ook wat afhangt van het aantal Proximus klanten in uw buurt.Bavooo schreef:En dan ook maar hopen dat vectoring snel wordt geactiveerd. Zijn er truckjes om dit sneller te laten activeren? Of is wachten tot het "langskomt" de enige optie?
De vectoring-uitrol ging 2 jaar duren, we zijn nu al over de helft, dus nog maximaal 8 a 12 maand geduld
-
philippe_d
- Moderator

- Berichten: 18609
- Lid geworden op: 28 apr 2008, 11:22
- Locatie: Waregem
- Uitgedeelde bedankjes: 1016 keer
- Bedankt: 3810 keer
- Recent bedankt: 24 keer
Als je ROP al vectoring is, maar je lijn nog niet, dan kan je vectoring misschien forceren door het 0800 nummer. De TBF zal jou dan direct het vectoring profiel geven.
Dat was toch de ervaring van Tomsworld bij zijn testjes (zie laatste test): http://userbase.be/forum/viewtopic.php? ... 40#p606704
Dat was toch de ervaring van Tomsworld bij zijn testjes (zie laatste test): http://userbase.be/forum/viewtopic.php? ... 40#p606704
VoIP: EDPnet (gratis vaste lijn), Sipgate.de, Sipgate.co.uk, MegaVoip.
Provider: EDPnet Fiber XS (150/50 mbps down/up).
Modem/Router: Fritz!Box 5590 Fiber, OS 8.10 BETA, Fritz!SFP GPON aangesloten op Proximus ONTP.
Telefoon centrale: Euracom 181 achter FritzBox So. 3 Fritz!DECT toestellen
TV: Telenet CI+, Fritz!DVB-C.
Provider: EDPnet Fiber XS (150/50 mbps down/up).
Modem/Router: Fritz!Box 5590 Fiber, OS 8.10 BETA, Fritz!SFP GPON aangesloten op Proximus ONTP.
Telefoon centrale: Euracom 181 achter FritzBox So. 3 Fritz!DECT toestellen
TV: Telenet CI+, Fritz!DVB-C.
-
Tomsworld
- Elite Poster

- Berichten: 2769
- Lid geworden op: 29 jan 2004, 10:15
- Uitgedeelde bedankjes: 97 keer
- Bedankt: 245 keer
Inderdaad hij detecteert via een TBF test altijd opnieuw het remote modem type en past het lijnprofiel aan.
@philippe_d
Ik wil wel te weten komen waar de fout nog zit bij mij via lijntest / proximus.be geven dat ik 70/6 zou moeten halen maar ik krijg een profiel dlm zone 2 terwijl de marges meer dan groot genoeg zijn. Ik zou graag iemand vinden bij proximus die de reële lengte kan meten om te weten of er een fout is op mijn lijn of dat er een fout is in de proximus database.
@philippe_d
Ik wil wel te weten komen waar de fout nog zit bij mij via lijntest / proximus.be geven dat ik 70/6 zou moeten halen maar ik krijg een profiel dlm zone 2 terwijl de marges meer dan groot genoeg zijn. Ik zou graag iemand vinden bij proximus die de reële lengte kan meten om te weten of er een fout is op mijn lijn of dat er een fout is in de proximus database.
-
pyro85
- Plus Member

- Berichten: 195
- Lid geworden op: 23 nov 2014, 10:18
- Uitgedeelde bedankjes: 39 keer
- Bedankt: 126 keer
Ik heb deze topic bij onze franstalige vrienden even gelezen, blijkbaar is er wat discussie over de afstandsbepaling. Zo zou de afstand bij solitaire2511 met 1440m ongeveer 500m afwijken (werkelijke afstand 955m).
Hiervoor heb ik mogelijk een oplossing. Als ik ervan uit ga dat de waarde 'UPBOKLE' bepaald wordt op de frequentie waarop de lijn momenteel actief is (17 of 8Mhz), dan moet de formule daar rekening mee houden (is nu niet het geval).
Dit is de formule van v0.7, eerdere feedback van gebruikers gaf aan dat dit redelijk nauwkeurig was voor afstanden < 700m.
De 20 heeft als betekenis 20dB/km.
Dit is een formule die een linear resultaat geeft, bij v0.8 was deze licht aangepast naar een curve.
Bij solitaire2511 is de afstand 1440m, dus de UPBOKLE waarde is volgens de formule 28.8dB. Hij zit op een 8d profiel, dus de parameter 20db/km zal hier mogelijks niet kloppen. Als ik deze parameter aanpas naar 30dB/km voor 8d, dan kom uit bij 960m, wat de werkelijke afstand is bij hem.
Hoe hoger de parameter, hoe dichter bij de rop.
Nuttige feedback apprecieer ik altijd, dit helpt me om de tool beter te maken
De resultaten van andere personen die op 8d profielen zitten zullen bepalen of deze redenering klopt (of niet).
Hiervoor heb ik mogelijk een oplossing. Als ik ervan uit ga dat de waarde 'UPBOKLE' bepaald wordt op de frequentie waarop de lijn momenteel actief is (17 of 8Mhz), dan moet de formule daar rekening mee houden (is nu niet het geval).
Dit is de formule van v0.7, eerdere feedback van gebruikers gaf aan dat dit redelijk nauwkeurig was voor afstanden < 700m.
Code: Selecteer alles
Distance = (upbokle / 20) * 1000;
Dit is een formule die een linear resultaat geeft, bij v0.8 was deze licht aangepast naar een curve.
Bij solitaire2511 is de afstand 1440m, dus de UPBOKLE waarde is volgens de formule 28.8dB. Hij zit op een 8d profiel, dus de parameter 20db/km zal hier mogelijks niet kloppen. Als ik deze parameter aanpas naar 30dB/km voor 8d, dan kom uit bij 960m, wat de werkelijke afstand is bij hem.
Hoe hoger de parameter, hoe dichter bij de rop.
Nuttige feedback apprecieer ik altijd, dit helpt me om de tool beter te maken
De resultaten van andere personen die op 8d profielen zitten zullen bepalen of deze redenering klopt (of niet).
-
AndRo555
- Elite Poster

- Berichten: 3036
- Lid geworden op: 04 aug 2012, 12:48
- Uitgedeelde bedankjes: 298 keer
- Bedankt: 273 keer
Zou je als benadering niet kunnen nemen:
A=k*l*sqrt(freq)
k = constante van de draad (moet je maar iets voor vinden aan de hand van wat data)
l= lengte in km
freq = frequentie in MHz (centrale freq, dus 4.15MHz voor 8d en 8.8MHz voor 17a)
A in dB
Zo kom ik aan een k voor jouw voorbeeld (28.8dB,955m,8d) op k=14.80
Dus dan krijg je:
l = A/(k*sqrt(freq))
Met k = 14.80 en freq= 4.15 of 8.8 (of iets anders mocht er ooit 30MHz komen, of g.fast, maar ik vrees voor de accuraatheid in dat geval)
De wortel is zover mijn kennis reikt nog wel een goede benadering voor de Attenuation in dB. Ik zal eens wat verder spitten op het internet en wat cursussen of ik iets beters vind.
A=k*l*sqrt(freq)
k = constante van de draad (moet je maar iets voor vinden aan de hand van wat data)
l= lengte in km
freq = frequentie in MHz (centrale freq, dus 4.15MHz voor 8d en 8.8MHz voor 17a)
A in dB
Zo kom ik aan een k voor jouw voorbeeld (28.8dB,955m,8d) op k=14.80
Dus dan krijg je:
l = A/(k*sqrt(freq))
Met k = 14.80 en freq= 4.15 of 8.8 (of iets anders mocht er ooit 30MHz komen, of g.fast, maar ik vrees voor de accuraatheid in dat geval)
De wortel is zover mijn kennis reikt nog wel een goede benadering voor de Attenuation in dB. Ik zal eens wat verder spitten op het internet en wat cursussen of ik iets beters vind.
-
AndRo555
- Elite Poster

- Berichten: 3036
- Lid geworden op: 04 aug 2012, 12:48
- Uitgedeelde bedankjes: 298 keer
- Bedankt: 273 keer
Dit is misschien een hulp om de benadering op pijl te zetten. Att (in dB) vs freq verloopt vrij goed volgens een wortel.
Meer info:
http://www.ti.com/sc/docs/products/network/vdslwp.pdf
Meer info:
http://www.ti.com/sc/docs/products/network/vdslwp.pdf
-
philippe_d
- Moderator

- Berichten: 18609
- Lid geworden op: 28 apr 2008, 11:22
- Locatie: Waregem
- Uitgedeelde bedankjes: 1016 keer
- Bedankt: 3810 keer
- Recent bedankt: 24 keer
Een juiste afstandsbepaling zal nooit mogelijk zijn.pyro85 schreef: Als ik ervan uit ga dat de waarde 'UPBOKLE' bepaald wordt op de frequentie waarop de lijn momenteel actief is (17 of 8Mhz), dan moet de formule daar rekening mee houden (is nu niet het geval)....
Nuttige feedback apprecieer ik altijd, dit helpt me om de tool beter te maken
- je zou inderdaad rekening kunnen houden met het profiel, maar dat geeft jou alleen de frequentie van het hoogste kanaal (resp. 8MHz en 17MHz), dus niet de gemiddelde verzwakking op de lijn over het gehele spectrum, wat voor iedere lijn verschillend is.
- de CPE weet onmogelijk de dikte van de koperdraad tussen de ROP en de aansluiting. Proximus gebruikt koper van 0.5 mm en 0.6 mm, maar de dikke bundels vanuit de Lex en kunnen ook 0.4mm zijn.
Gezien Proximus voor de profilebepaling uitgaat van 1dB/km verlies (bij 800Hz), geven ze hiermee aan dat ze zich baseren op koper van 0.6mm (1 dB/km bij 800Hz is namelijk de verzwakking bij 0.6 mm) - last but not least, bij welke frequentie is de UPBOKLE gemeten? Want deze waarde wijkt toch af van de downstream attenuation (deze laatste is inderdaad afhankelijk van het profiel) ...
VoIP: EDPnet (gratis vaste lijn), Sipgate.de, Sipgate.co.uk, MegaVoip.
Provider: EDPnet Fiber XS (150/50 mbps down/up).
Modem/Router: Fritz!Box 5590 Fiber, OS 8.10 BETA, Fritz!SFP GPON aangesloten op Proximus ONTP.
Telefoon centrale: Euracom 181 achter FritzBox So. 3 Fritz!DECT toestellen
TV: Telenet CI+, Fritz!DVB-C.
Provider: EDPnet Fiber XS (150/50 mbps down/up).
Modem/Router: Fritz!Box 5590 Fiber, OS 8.10 BETA, Fritz!SFP GPON aangesloten op Proximus ONTP.
Telefoon centrale: Euracom 181 achter FritzBox So. 3 Fritz!DECT toestellen
TV: Telenet CI+, Fritz!DVB-C.
-
pyro85
- Plus Member

- Berichten: 195
- Lid geworden op: 23 nov 2014, 10:18
- Uitgedeelde bedankjes: 39 keer
- Bedankt: 126 keer
Ik had mezelf blijkbaar al het antwoord gegeven
http://userbase.be/forum/viewtopic.php? ... 20#p598499
Een 100% juiste afstandsbepaling zal inderdaad nooit mogelijk zijn, maar de UPBOKLE waarde brengt me wel in de buurt omdat deze onafhankelijk is van uw profiel en snelheid. Het is een kwestie van de juiste formule te vinden. Mijn doel is om de afwijking toch binnen de 15% te houden.

Ik heb de formule nu verder aangepast in v0.9 om minder afwijking te hebben voor afstanden < 400m
Zie hieronder de grafiek:
http://userbase.be/forum/viewtopic.php? ... 20#p598499
UPBOKLE wordt dus op 1MHz gemeten, waardoor mijn eerdere theorie in het water valt.This parameter contains the estimated electrical length
expressed in dB at 1 MHz, kl0. This is the final electrical
length that would have been sent from the VTU-O to VTU-R if
the electrical length was not forced by the CO-MIB.
The value ranges from 0 to 128 dB in steps of 0.1 dB."
Een 100% juiste afstandsbepaling zal inderdaad nooit mogelijk zijn, maar de UPBOKLE waarde brengt me wel in de buurt omdat deze onafhankelijk is van uw profiel en snelheid. Het is een kwestie van de juiste formule te vinden. Mijn doel is om de afwijking toch binnen de 15% te houden.
In v0.8 had ik ook al ongeveer zo'n grafiek, ik zat toch al min of meer op het juiste spoorAndRo555 schreef:Dit is misschien een hulp om de benadering op pijl te zetten. Att (in dB) vs freq verloopt vrij goed volgens een wortel.
Meer info:
http://www.ti.com/sc/docs/products/network/vdslwp.pdf
Ik heb de formule nu verder aangepast in v0.9 om minder afwijking te hebben voor afstanden < 400m
Zie hieronder de grafiek:
-
philippe_d
- Moderator

- Berichten: 18609
- Lid geworden op: 28 apr 2008, 11:22
- Locatie: Waregem
- Uitgedeelde bedankjes: 1016 keer
- Bedankt: 3810 keer
- Recent bedankt: 24 keer
Inderdaad onafhankelijk van frequentie (gezien gemeten bij 1.000 Hz), en dus onafhankelijk van profiel en snelheid.pyro85 schreef:UPBOKLE wordt dus op 1MHz gemeten, waardoor mijn eerdere theorie in het water valt.
Een 100% juiste afstandsbepaling zal inderdaad nooit mogelijk zijn, maar de UPBOKLE waarde brengt me wel in de buurt omdat deze onafhankelijk is van uw profiel en snelheid
Maar nog steeds zéér afhankelijk van de dikte van het koperpaar.
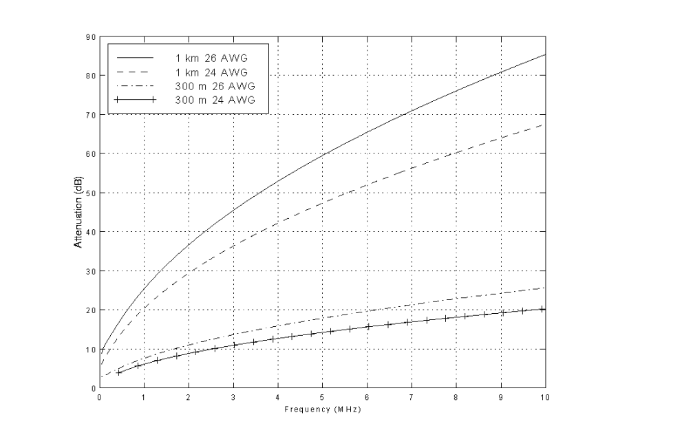
Zie grafiek nummer 3, pag 8 van de PDF in bovenstaande link:
- - verzwakking bij 1 MHz op een koperpaar van 0.4 mm (26 AGW) is ca 26 dB/km
- verzwakking bij 1 MHz op een koperpaar van 0.5 mm (24 AGW) is ca 21 dB/km
Probleem is dat een CPE niet weet welke kabels er gebruikt zijn tussen de ROP en de aansluiting, een exacte schatting is dus op deze basis onmogelijk.
VoIP: EDPnet (gratis vaste lijn), Sipgate.de, Sipgate.co.uk, MegaVoip.
Provider: EDPnet Fiber XS (150/50 mbps down/up).
Modem/Router: Fritz!Box 5590 Fiber, OS 8.10 BETA, Fritz!SFP GPON aangesloten op Proximus ONTP.
Telefoon centrale: Euracom 181 achter FritzBox So. 3 Fritz!DECT toestellen
TV: Telenet CI+, Fritz!DVB-C.
Provider: EDPnet Fiber XS (150/50 mbps down/up).
Modem/Router: Fritz!Box 5590 Fiber, OS 8.10 BETA, Fritz!SFP GPON aangesloten op Proximus ONTP.
Telefoon centrale: Euracom 181 achter FritzBox So. 3 Fritz!DECT toestellen
TV: Telenet CI+, Fritz!DVB-C.
-
flupke19
- Premium Member

- Berichten: 528
- Lid geworden op: 23 mei 2013, 08:37
- Uitgedeelde bedankjes: 21 keer
- Bedankt: 97 keer
uiteraard wisselen CPE en DSLAM deze gegevens met elkaar uit (er is per slot van rekening ook nog zoiets als upstream verzwakking, die uiteraard niet volledig identiek is aan downstream wegens lagere frequenties)jackho schreef:zou het ontvangstniveau door CPE niet doorgeven worden aan de Lijnkaart, en dat zo de verzwakking exact gekend is.
Hoe de elektrische lengte berekend wordt staat in de G.993.2 (https://www.itu.int/rec/T-REC-G.993.2-201112-S/en) in par. 7.2.1.3.2.1
-
Tomsworld
- Elite Poster

- Berichten: 2769
- Lid geworden op: 29 jan 2004, 10:15
- Uitgedeelde bedankjes: 97 keer
- Bedankt: 245 keer
En voila deze avond, plots geen internet en tv, 2 reboots van mijn modem, nooit geweten dat de BBOX3 rebooten voor een een profiel change en voila:
de eerste weken :
en nu
50/6 -> 70/10 enige verandering is de Dowstream noise margin, attainable is gelijk gebleven.
Dus waar de glitch gezeten heeft, geen idee belgacom site gaf altijd 70 Mbit, afstand leek ok maar geen enkele lijntest veranderde het, storing in de bundel, bij de migratie ? Lijnprofielen opnieuw toegekend.
de eerste weken :
Code: Selecteer alles
B-Box 3 Sagem Tool v0.8
-----------------------
Device: B-Box 3 Sagem
Downstream current bit rate: 49.998 kbps
Upstream current bit rate: 6.063 kbps
Downstream max bit rate: 131.604 kbps
Upstream max bit rate: 26.213 kbps
Downstream attenuation: 13,7 dB
Downstream noise margin: 30,7 dB
Upstream noise margin: 19,6 dB
DSL standard: VDSL2
VDSL2 profile: 17a
Vectoring: Yes
Proximus profile: LP___
DLM: No
Repair: No
Distance (experimental): 277 m
en nu
Code: Selecteer alles
B-Box 3 Sagem Tool v0.8
-----------------------
Device: B-Box 3 Sagem
Downstream current bit rate: 69.999 kbps
Upstream current bit rate: 10.064 kbps
Downstream max bit rate: 129.567 kbps
Upstream max bit rate: 25.834 kbps
Downstream attenuation: 13,8 dB
Downstream noise margin: 23,8 dB
Upstream noise margin: 15,5 dB
DSL standard: VDSL2
VDSL2 profile: 17a
Vectoring: Yes
Proximus profile: LP145
DLM: No
Repair: No
Distance (experimental): 277 m
Dus waar de glitch gezeten heeft, geen idee belgacom site gaf altijd 70 Mbit, afstand leek ok maar geen enkele lijntest veranderde het, storing in de bundel, bij de migratie ? Lijnprofielen opnieuw toegekend.
- lacer
- Elite Poster

- Berichten: 3392
- Lid geworden op: 24 feb 2007, 23:15
- Locatie: 09
- Uitgedeelde bedankjes: 178 keer
- Bedankt: 202 keer
- Recent bedankt: 2 keer
Mooi, mooi, maar jouw onderschrift klopt nu niet totaal niet meer 
EdpNet FiberXS: 144 / 48 Mbps
VoIp OVH + Gigaset C610IP + C430H
Telenet Digital TV HD Digicorder AD 2200
Rpi 2B Pi-Hole // Rpi 3B+ met Mqtt-Node-Red-InfluxDb-Grafana // Rpi 5B Kodi-21
FLUKSO monitoring Elec-Gas-Water-PV > Mqtt > Grafana
Ubuntu Mate 24.04
VoIp OVH + Gigaset C610IP + C430H
Telenet Digital TV HD Digicorder AD 2200
Rpi 2B Pi-Hole // Rpi 3B+ met Mqtt-Node-Red-InfluxDb-Grafana // Rpi 5B Kodi-21
FLUKSO monitoring Elec-Gas-Water-PV > Mqtt > Grafana
Ubuntu Mate 24.04
- yama
- Premium Member

- Berichten: 643
- Lid geworden op: 24 jul 2007, 16:40
- Uitgedeelde bedankjes: 12 keer
- Bedankt: 5 keer
Code: Selecteer alles
B-Box 3 Sagem Tool v0.8
-----------------------
Device: B-Box 3 Sagem
Downstream current bit rate: 69.999 kbps
Upstream current bit rate: 10.064 kbps
Downstream max bit rate: 121.359 kbps
Upstream max bit rate: 25.288 kbps
Downstream attenuation: 12,7 dB
Downstream noise margin: 20,9 dB
Upstream noise margin: 15,3 dB
DSL standard: VDSL2
VDSL2 profile: 17a
Vectoring: Yes
Proximus profile: LP145
DLM: No
Repair: No
Distance (experimental): 281 m
Mod comment: gelieve uw signature te verkleinen, neemt onnodig veel plaats in. dank
Laatst gewijzigd door philippe_d 30 mei 2015, 10:49, in totaal 1 gewijzigd.
Reden: zie mod break
Reden: zie mod break

-
pyro85
- Plus Member

- Berichten: 195
- Lid geworden op: 23 nov 2014, 10:18
- Uitgedeelde bedankjes: 39 keer
- Bedankt: 126 keer
Versie 0.9 kan hier gedownload worden: https://www.belgacomcloud.be/?shareObje ... 7668f8029b
In deze versie ligt de nadruk op het correct bepalen van de profielen.
Changelog:
- een hele hoop ontbrekende profielen toegevoegd (zie deze post: http://userbase.be/forum/viewtopic.php? ... 20#p605275)
- live update van profielen, bedankt aan jantje81 voor de hosting!
- profielbepaling houdt nu ook rekening met afstand (indien deze berekend kon worden)
- profielbepaling houdt nu ook rekening met vectoringstatus (indien deze bepaald kon worden)
- afstandsbepaling voor bbox3 werd aangepast, deze zou nu een meer correct resultaat moeten geven
In v0.10 zal de nadruk eerder liggen op optimalisaties en het sneller ophalen van bepaalde waarden.
K'zou eigenlijk eens eenmalig een expert of admin-toegeng moeten bemachtigen, zodat ik kan zien welke waarden er nog in de bbox zitten die interessant zijn... Zonder die toegang kan ik de tool eigenlijk niet veel meer verbeteren.
In deze versie ligt de nadruk op het correct bepalen van de profielen.
Changelog:
- een hele hoop ontbrekende profielen toegevoegd (zie deze post: http://userbase.be/forum/viewtopic.php? ... 20#p605275)
- live update van profielen, bedankt aan jantje81 voor de hosting!
- profielbepaling houdt nu ook rekening met afstand (indien deze berekend kon worden)
- profielbepaling houdt nu ook rekening met vectoringstatus (indien deze bepaald kon worden)
- afstandsbepaling voor bbox3 werd aangepast, deze zou nu een meer correct resultaat moeten geven
Code: Selecteer alles
B-Box 3 Sagem Tool v0.9
-----------------------
Device: B-Box 3 Sagem
Downstream current bit rate: 69 999 kbps
Upstream current bit rate: 10 064 kbps
Downstream max bit rate: 90 953 kbps
Upstream max bit rate: 15 049 kbps
Downstream attenuation: 11,5 dB
Downstream noise margin: 11,9 dB
Upstream noise margin: 8,2 dB
DSL standard: VDSL2
VDSL2 profile: 17a
Vectoring: Yes
Proximus profile: LP145
DLM: No
Repair: No
Distance (experimental): 275 m
K'zou eigenlijk eens eenmalig een expert of admin-toegeng moeten bemachtigen, zodat ik kan zien welke waarden er nog in de bbox zitten die interessant zijn... Zonder die toegang kan ik de tool eigenlijk niet veel meer verbeteren.
- Petervanakelyen
- Elite Poster

- Berichten: 1628
- Lid geworden op: 30 dec 2009, 22:36
- Locatie: Antwerpen
- Uitgedeelde bedankjes: 96 keer
- Bedankt: 179 keer
Kom eens langs, daar kan voor gezorgd worden 
-
franjo
- Plus Member

- Berichten: 194
- Lid geworden op: 20 jun 2006, 17:17
- Uitgedeelde bedankjes: 47 keer
- Bedankt: 14 keer
helemaal in orde , bedankt!
Code: Selecteer alles
B-Box 3 Sagem Tool v0.9
-----------------------
Device: B-Box 3 Sagem
Downstream current bit rate: 49,999 kbps
Upstream current bit rate: 6,063 kbps
Downstream max bit rate: 111,131 kbps
Upstream max bit rate: 25,592 kbps
Downstream attenuation: 16.3 dB
Downstream noise margin: 25.1 dB
Upstream noise margin: 19.8 dB
DSL standard: VDSL2
VDSL2 profile: 17a
Vectoring: Yes
Proximus profile: LP137
DLM: No
Repair: No
Distance (experimental): 442 m- thomasv
- Premium Member

- Berichten: 567
- Lid geworden op: 01 dec 2014, 16:52
- Locatie: Regio Gent
- Uitgedeelde bedankjes: 35 keer
- Bedankt: 52 keer
Code: Selecteer alles
B-Box 3 Sagem Tool v0.9
-----------------------
Device: B-Box 3 Sagem
Downstream current bit rate: 50,199 kbps
Upstream current bit rate: 10,004 kbps
Downstream max bit rate: 63,982 kbps
Upstream max bit rate: 10,004 kbps
Downstream attenuation: 13.4 dB
Downstream noise margin: 12.8 dB
Upstream noise margin: 0.0 dB
DSL standard: VDSL2
VDSL2 profile: 17a
Vectoring: No
Proximus profile: LP058
DLM: Yes
Repair: No
Distance (experimental): 355 m iPhone 12 Pro / iPad 2021 / Apple TV 4K (2nd Gen) / MBP 2020
⌘ Proximus Internet Maxi Fiber
⌘ Proximus Internet Maxi Fiber
-
pyro85
- Plus Member

- Berichten: 195
- Lid geworden op: 23 nov 2014, 10:18
- Uitgedeelde bedankjes: 39 keer
- Bedankt: 126 keer
K'wist dat je al een manier had voor de Technicolor, maar ook voor de Sagem? Nice!Petervanakelyen schreef:Kom eens langs, daar kan voor gezorgd worden
Heeft het toevallig iets te maken met de verborgen seriële poort?
Geen idee wat Proximus deze nacht uitgestoken heeft met mijn lijn, maar mijn waarden zijn serieus verbeterd. De max download is zomaar even gestegen met 33mbps
Code: Selecteer alles
B-Box 3 Sagem Tool v0.9
-----------------------
Device: B-Box 3 Sagem
Downstream current bit rate: 69 999 kbps
Upstream current bit rate: 10 064 kbps
Downstream max bit rate: 124 311 kbps
Upstream max bit rate: 22 270 kbps
Downstream attenuation: 11,6 dB
Downstream noise margin: 22,4 dB
Upstream noise margin: 13,1 dB
DSL standard: VDSL2
VDSL2 profile: 17a
Vectoring: Yes
Proximus profile: LP145
DLM: No
Repair: No
Distance (experimental): 270 m
-
AndRo555
- Elite Poster

- Berichten: 3036
- Lid geworden op: 04 aug 2012, 12:48
- Uitgedeelde bedankjes: 298 keer
- Bedankt: 273 keer
Code: Selecteer alles
B-Box 3 Sagem Tool v0.9
-----------------------
Device B-Box 3 Sagem
Downstream current bit rate 69†999 kbps
Upstream current bit rate 10†049 kbps
Downstream max bit rate 84†611 kbps
Upstream max bit rate 10†049 kbps
Downstream attenuation 10,0 dB
Downstream noise margin 11,1 dB
Upstream noise margin 0,0 dB
DSL standard VDSL2
VDSL2 profile 17a
Vectoring Yes
Proximus profile LP145
DLM No
Repair No
Distance (experimental) 225 mOok verdacht dat de upstream max bitrate exact hetzelfde is waarop de modem zich intraint.
- Dizzy
- Elite Poster

- Berichten: 13017
- Lid geworden op: 06 dec 2009, 13:28
- Locatie: Hier ter plaatse
- Uitgedeelde bedankjes: 617 keer
- Bedankt: 740 keer
- Recent bedankt: 5 keer
Code: Selecteer alles
B-Box 3 Sagem Tool v0.9
-----------------------
Device: B-Box 3 Sagem
Downstream current bit rate: 50 200 kbps
Upstream current bit rate: 10 054 kbps
Downstream max bit rate: 89 179 kbps
Upstream max bit rate: 128 kbps
Downstream attenuation: 11,0 dB
Downstream noise margin: 19,4 dB
Upstream noise margin: 11,5 dB
DSL standard: VDSL2
VDSL2 profile: 17a
Vectoring: No
Proximus profile: LP058
DLM: Yes
Repair: No
Distance (experimental): 245 m
Wil je iemand kwaad maken, vertel hem dan leugens. Wil je iemand razend maken, vertel hem dan de waarheid.
-
brampiec
- Plus Member

- Berichten: 102
- Lid geworden op: 27 nov 2010, 16:59
- Uitgedeelde bedankjes: 16 keer
- Bedankt: 4 keer
Ik heb zonet een automatisch lijntest uitgevoerd op mijn lijn om te zien of ik al dan niet op een vectoring profiel zou terecht komen maar zonder resultaat. Al lijken mijn lijnwaarde lichtjes verbeterd te zijn. Waar aan zou dit kunnen liggen?
Dit is de output met de nieuwe tool v0.9 (na de automatische lijntest van vandaag):
Vorige resultaten met versie v0.8 van de tool:
Dit is de output met de nieuwe tool v0.9 (na de automatische lijntest van vandaag):
Code: Selecteer alles
B-Box 3 Sagem Tool v0.9
-----------------------
Device: B-Box 3 Sagem
Downstream current bit rate: 50.200 kbps
Upstream current bit rate: 10.054 kbps
Downstream max bit rate: 59.117 kbps
Upstream max bit rate: 10.054 kbps
Downstream attenuation: 11,3 dB
Downstream noise margin: 8,8 dB
Upstream noise margin: 0,0 dB
DSL standard: VDSL2
VDSL2 profile: 17a
Vectoring: No
Proximus profile: LP058
DLM: Yes
Repair: No
Distance (experimental): 275 m
Code: Selecteer alles
B-Box 3 Sagem Tool v0.8
-----------------------
Device: B-Box 3 Sagem
Downstream current bit rate: 50.200 kbps
Upstream current bit rate: 10.049 kbps
Downstream max bit rate: 52.211 kbps
Upstream max bit rate: 10.049 kbps
Downstream attenuation: 11,2 dB
Downstream noise margin: 6,6 dB
Upstream noise margin: 0,0 dB
DSL standard: VDSL2
VDSL2 profile: 17a
Vectoring: No
Proximus profile: LP058
DLM: Yes
Repair: No
Distance (experimental): 239 m
- thomasv
- Premium Member

- Berichten: 567
- Lid geworden op: 01 dec 2014, 16:52
- Locatie: Regio Gent
- Uitgedeelde bedankjes: 35 keer
- Bedankt: 52 keer
Je moet de login gebruikt die op de Bbox staat. Ben je zeker dat 'user' is aangeduid? Dat je hoofdletters hebt gebruikt in het wachtwoord waar nodig? Een nul of een o hebt verwisseld?fsi01 schreef:Bij het inloggen als user in de Sagem Tool krijg ik steed de meldong login incorrect
iPhone 12 Pro / iPad 2021 / Apple TV 4K (2nd Gen) / MBP 2020
⌘ Proximus Internet Maxi Fiber
⌘ Proximus Internet Maxi Fiber
Bedankt thomasv
Het bleek een ander probleem te zijn ... heb een Technicolor (etiket moeilijk zichtbaar ...), kan tool dus niet gebruiken.
Probeer snelheid te achterhalen, Belgacom heeft downloadsnelheid blijkbaar verhoogd van 20 naar 40 en dan terug naar 30
Sindsdien veel problemen Belgacom TV ... bij overschakelen naar andere zender veel trager en in 10% van de gevallen verschijnt boodschap geen signaal (1 sec) ... is zeer vervelend bij zappen ... en ook mozaiekvorming bij vorming beeld
Oplossing, lag zogezegd aan binnenbekabeling ... bbox 2 moeten omruilen naar bbox 3 , Belgacom technieker heeft in huis ook nog wat veranderd maar probleem blijft
Hij zegt dat dit aan de firmware ligt en dat ik wat geduld moet hebben ...
2 weken geleden (bij 20) werkte alles nog perfect en was snelheid TV & Internet zeker snel genoeg
Het bleek een ander probleem te zijn ... heb een Technicolor (etiket moeilijk zichtbaar ...), kan tool dus niet gebruiken.
Probeer snelheid te achterhalen, Belgacom heeft downloadsnelheid blijkbaar verhoogd van 20 naar 40 en dan terug naar 30
Sindsdien veel problemen Belgacom TV ... bij overschakelen naar andere zender veel trager en in 10% van de gevallen verschijnt boodschap geen signaal (1 sec) ... is zeer vervelend bij zappen ... en ook mozaiekvorming bij vorming beeld
Oplossing, lag zogezegd aan binnenbekabeling ... bbox 2 moeten omruilen naar bbox 3 , Belgacom technieker heeft in huis ook nog wat veranderd maar probleem blijft
Hij zegt dat dit aan de firmware ligt en dat ik wat geduld moet hebben ...
2 weken geleden (bij 20) werkte alles nog perfect en was snelheid TV & Internet zeker snel genoeg
- hardyscript
- Premium Member

- Berichten: 552
- Lid geworden op: 20 feb 2010, 16:35
- Locatie: Brugge
- Uitgedeelde bedankjes: 300 keer
- Bedankt: 30 keer
Code: Selecteer alles
B-Box 3 Sagem Tool v0.9
-----------------------
Device: B-Box 3 Sagem
Downstream current bit rate: 30 057 kbps
Upstream current bit rate: 4 046 kbps
Downstream max bit rate: 42 677 kbps
Upstream max bit rate: 4 046 kbps
Downstream attenuation: 18,1 dB
Downstream noise margin: 16,4 dB
Upstream noise margin: 0,0 dB
DSL standard: VDSL2
VDSL2 profile: 17a
Vectoring: No
Proximus profile: LP039
DLM: Yes
Repair: No
Distance (experimental): 602 m
Klopt dit ?
- Patje
- Elite Poster

- Berichten: 3694
- Lid geworden op: 03 sep 2003, 19:18
- Locatie: (Ledegem)West vlaanderen
- Uitgedeelde bedankjes: 267 keer
- Bedankt: 106 keer
- Recent bedankt: 1 keer
Mja 17a heeft toch een 6 up , dus zou dat 30/6 moeten zijn en geen 30/4
Intel® i3-10100 Quad-Core @4,10 GHZ. Ram:16 GB DDR4. SSD NVMe 500 GB || Windows 11 Home X64 || GSM Samsung Galaxy A13 @ Hey!
Hey! LiveBox Cable Modem 150/15 Mbps* https://www.speedtest.net/nl/result/16739853024.png
Hey! LiveBox Cable Modem 150/15 Mbps* https://www.speedtest.net/nl/result/16739853024.png
-
philippe_d
- Moderator

- Berichten: 18609
- Lid geworden op: 28 apr 2008, 11:22
- Locatie: Waregem
- Uitgedeelde bedankjes: 1016 keer
- Bedankt: 3810 keer
- Recent bedankt: 24 keer
Inderdaad waarschijnlijk 8d, zone 3, 16.5/2 > DLM 30/4hardyscript schreef:Wat ik mij hier afvraag of het werkelijk een 17a profiel is... volgens mij is dit een 8d profiel.Code: Selecteer alles
B-Box 3 Sagem Tool v0.9 ----------------------- Device: B-Box 3 Sagem Downstream current bit rate: 30 057 kbps Upstream current bit rate: 4 046 kbps
Klopt dit ?
VoIP: EDPnet (gratis vaste lijn), Sipgate.de, Sipgate.co.uk, MegaVoip.
Provider: EDPnet Fiber XS (150/50 mbps down/up).
Modem/Router: Fritz!Box 5590 Fiber, OS 8.10 BETA, Fritz!SFP GPON aangesloten op Proximus ONTP.
Telefoon centrale: Euracom 181 achter FritzBox So. 3 Fritz!DECT toestellen
TV: Telenet CI+, Fritz!DVB-C.
Provider: EDPnet Fiber XS (150/50 mbps down/up).
Modem/Router: Fritz!Box 5590 Fiber, OS 8.10 BETA, Fritz!SFP GPON aangesloten op Proximus ONTP.
Telefoon centrale: Euracom 181 achter FritzBox So. 3 Fritz!DECT toestellen
TV: Telenet CI+, Fritz!DVB-C.
-
philippe_d
- Moderator

- Berichten: 18609
- Lid geworden op: 28 apr 2008, 11:22
- Locatie: Waregem
- Uitgedeelde bedankjes: 1016 keer
- Bedankt: 3810 keer
- Recent bedankt: 24 keer
Ja, maar een 17a profiel, zelfs achteraan in zone 2, zou waarschijnlijk een veel betere "downstream max bitrate" geven?
VoIP: EDPnet (gratis vaste lijn), Sipgate.de, Sipgate.co.uk, MegaVoip.
Provider: EDPnet Fiber XS (150/50 mbps down/up).
Modem/Router: Fritz!Box 5590 Fiber, OS 8.10 BETA, Fritz!SFP GPON aangesloten op Proximus ONTP.
Telefoon centrale: Euracom 181 achter FritzBox So. 3 Fritz!DECT toestellen
TV: Telenet CI+, Fritz!DVB-C.
Provider: EDPnet Fiber XS (150/50 mbps down/up).
Modem/Router: Fritz!Box 5590 Fiber, OS 8.10 BETA, Fritz!SFP GPON aangesloten op Proximus ONTP.
Telefoon centrale: Euracom 181 achter FritzBox So. 3 Fritz!DECT toestellen
TV: Telenet CI+, Fritz!DVB-C.

